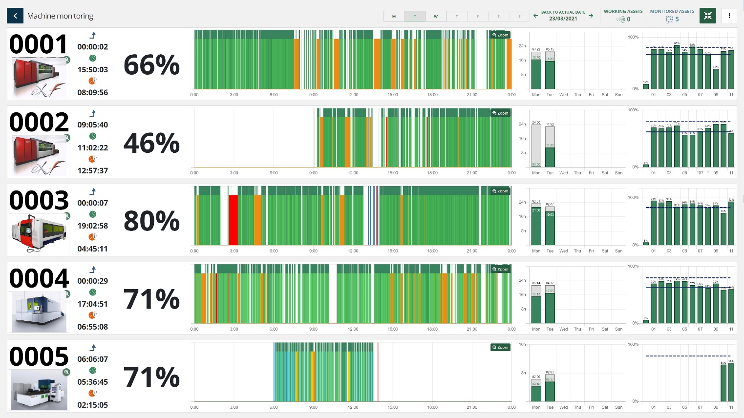
Prehľad výkonnosti výroby
Výrobný výkon je schopnosť továrne uspokojiť plánovaný dopyt po výrobe. Avšak v dnešnom trhovom prostredí, keď sa produkty len zriedka vyrábajú na sklad a väčšina výrobcov sa zmenila na zákazkové podniky alebo obchody s ponukou zákaziek, pričom nepoznajú typ a kombináciu práce, ktorá ich čaká, sa podnik musí spoliehať na správnosť svoj rozpočet a hodinové sadzby, ktoré odzrkadľuje neustálym monitorovaním skutočného vyťaženia svojich pracovísk. Na základe údajov o využití pracovného centra ZOOMFAB vypočítava skutočné príjmy a zisky a porovnáva ich s rozpočtom.

Automatické hlásenie kritických údajov
Spoločnosť ZOOMFAB vyvinula jedinečný automatický nástroj na podávanie správ s názvom Monday Report®. Jeho účelom je poskytnúť jednoduchý prístup k najdôležitejším informáciám o výkonnosti továrne za predchádzajúci týždeň. Nie je potrebné spúšťať počítač a pamätať si heslo. Správa príde e-mailom práve včas na rannú kávu. Poskytuje informácie o celom zariadení a jednotlivých pracoviskách. Kompletný formulár tejto správy je k dispozícii na palubnej doske, čo umožňuje vŕtanie údajov na ľubovoľnú požadovanú úroveň.

Zníženie prestojov, proaktívne riadenie
Zvýrazňovanie a sledovanie prestojov sa považuje za jeden z najdôležitejších KPI. Zníženie prestojov je hlavným cieľom, pretože prestoje znamenajú stratu kapacity, narušené plánovanie, dlhšie dodacie lehoty, neskoré dodávky a v konečnom dôsledku stratu zisku. ZOOMFAB poskytuje všetky nástroje, ktoré spoločnosť potrebuje na proaktívne riadenie prestojov – prehľad v reálnom čase, upozornenia a zmysluplné štatistiky. V prvom mesiaci inštalácie ZOOMFAB môžete jednoducho znížiť prestoje o 20 až 40 % a skrátené prestoje sa okamžite premenia na dodatočnú kapacitu.

Neustále zlepšovanie
Na riadenie vylepšení armáda používa „OODA loop“. A veľmi dobre to funguje aj vo výrobe. ZOOMFAB vám poskytuje nástroje na POZOROVANIE, ORIENTOVANIE, ROZHODOVANIE a KONANIE, čo je najlepšia stratégia, vďaka ktorej budete produktívnejší, konkurencieschopnejší a ziskovejší. Sledujte trendy, pozerajte sa na dáta a štatistiky, simulujte zmeny, stanovujte si ciele a implementujte ich. A opakujte to pre neustále zlepšovanie. So ZOOMFAB máte neustále pod kontrolou.

Vylepšená komunikácia
Je zriedkavé, že produktivita je používaná ako prostriedok na zlepšovanie prevádzky podniku.
Dôvodom je, že na to neexistujú žiadne praktické nástroje, pokiaľ nevyviniete svoj vlastný. A to je časovo náročná úloha, vyžaduje si dodatočné zdroje, byrokratickú prácu a množstvo stretnutí s veľmi slabými výsledkami. ZOOMFAB pomáha vytvárať prostredie, ktoré podporuje produktivitu. Vďaka tomu sú informácie relevantné pre ľudí, ktorí vykonávajú prácu. Ak svojim ľuďom poskytnete metriky, ktoré súvisia s prácou, ktorú robia, pomôže im to zistiť, kde by sa dali zlepšiť. Viditeľnosť a prevádzkové fakty tiež menia úroveň komunikácie, odstraňujú podozrenie a podporujú angažovanosť a prínos zamestnancov.

Zníženie spotreby energie
V rámci monitoringu ZOOMFAB meria aj spotrebu elektrickej energie každého stroja. Voliteľne je možné monitorovanie rozšíriť o meranie plynov pri rezaní laserom a výpočet využitia vykurovacieho plynu používaného na ohrev pecí. Presné grafy spotreby energie ZOOMFAB vám ukazujú obdobia, kedy sa plytvá energiou, a vypočítajte náklady, aby ste pochopili, čo to znamená z finančného hľadiska. Potom, keď sa rozhodnete kúpiť si nový stroj, môžete ho porovnať so svojím existujúcim, čím sa zabezpečí, že bude energeticky efektívnejší.
